Inverting SPAC curves
Inverting SPAC curves
some problems:
1) in dispersion curves in the file resulting from "run_01 run_02 run_03
run_04 run_05" there is no good matching between misfit curves and the
theoretical curve resulting from assuming fundumental Rayleigh mode.
2) When I choose several Rayleigh modes, how the different modes are
distinguished and should i do "resampl" too?
3) the ground profiles are not displayed.
1) in dispersion curves in the file resulting from "run_01 run_02 run_03
run_04 run_05" there is no good matching between misfit curves and the
theoretical curve resulting from assuming fundumental Rayleigh mode.
2) When I choose several Rayleigh modes, how the different modes are
distinguished and should i do "resampl" too?
3) the ground profiles are not displayed.
Hi Elham,
1) Are you running inversion of spac curves? Did you select them with spac2disp before? The cause might be that your parameterization is too restrictive?
It would be helpful to be able to attach images (for instance showing your Vs profiles) to this discussion. I'll try to add a modification to this forum to be able to attach files and especially images.
2) When choosing several modes for the same curve, the misfit is computed with the theoretical mode offering the best fit. In fact the misfit is the squared sum of normalized slowness differences calculated for each individual samples of th curve. In this case, for "mode guess", for each sample the best fitting theoretical mode is chosen. At first, one may expect that a lot oscillations can occur from one mode to the other, from one sample to the next. With experience, we just observed that it is not the case (probably due to the "rigid" shapes of dispersion curves).
The parameterization and the processing are the exactly the same as for a single mode inversion. To view the results, the only difference is that you have to select more than one mode to plot (in dispersion curve viewer), the number of modes you enter in the target specification. I would suggest not to start with more than 2 modes (fundamental Rayleigh and first higher mode).
3) Several points might be checked:
1) Are you running inversion of spac curves? Did you select them with spac2disp before? The cause might be that your parameterization is too restrictive?
It would be helpful to be able to attach images (for instance showing your Vs profiles) to this discussion. I'll try to add a modification to this forum to be able to attach files and especially images.
2) When choosing several modes for the same curve, the misfit is computed with the theoretical mode offering the best fit. In fact the misfit is the squared sum of normalized slowness differences calculated for each individual samples of th curve. In this case, for "mode guess", for each sample the best fitting theoretical mode is chosen. At first, one may expect that a lot oscillations can occur from one mode to the other, from one sample to the next. With experience, we just observed that it is not the case (probably due to the "rigid" shapes of dispersion curves).
The parameterization and the processing are the exactly the same as for a single mode inversion. To view the results, the only difference is that you have to select more than one mode to plot (in dispersion curve viewer), the number of modes you enter in the target specification. I would suggest not to start with more than 2 modes (fundamental Rayleigh and first higher mode).
3) Several points might be checked:
- What is your minimum misfit?
- How many models are generated (see in status window)?
- Make sure that the maximum misfit to plot is greater than the minimum misfit.
- Look into the log of your runs to get the path to the report files generated during inversion. Check that these files really exist.
- You can finally check their contents with gpdcreport
Reduce Misfit
Hi Marc,
How can I reduce the minimum misfit?
would you please have a look at the attached dinver file? Is the parametrization correct?
How can I reduce the minimum misfit?
would you please have a look at the attached dinver file? Is the parametrization correct?
- Attachments
-
- TEST.dinver
- (18.4 KiB) Downloaded 2937 times
When I open your dinver file, I can see that the target is a spac target for which 5 rings are defined. For 2 of the 5 rings, the curve is missing. There are two curves (3 in fact, 2 are the same) for the fundamental mode for the first two rings. Is it correct? Do you have the same situation? Or is it due to incompatibilities between the release you have installed and mine (the most recent one)? I don't think so, I unpacked the .dinver file to look at its XML content and I match exactly what I get in dinver.
So before continuing with the inversion, you should clarify the target definition. One cannot invert two distinct curves for the same mode and the same ring without generating high misfits. There must be only one curve per mode and per ring!
Another aspect is that your spac curve range is rather restricted: from 1.14 to 1.94 Hz only. In most of the rings the curve is flat which is not the part of the curve that contains much information about the soil structure. One expect at least to get the decrease of this curve, when it drops towards -0.4 and in some case when you can see some lobes. These curves have been selected with spac2disp where the original curves were computed over a wide range from 0.1 to 20 Hz. I have e few question that should be addressed:
Note: your parameterization was ok, but it is better to start with something really simple (often too simple) like a sediment layer over a half-space, eventually with a gradient in the sediments.
So before continuing with the inversion, you should clarify the target definition. One cannot invert two distinct curves for the same mode and the same ring without generating high misfits. There must be only one curve per mode and per ring!
Another aspect is that your spac curve range is rather restricted: from 1.14 to 1.94 Hz only. In most of the rings the curve is flat which is not the part of the curve that contains much information about the soil structure. One expect at least to get the decrease of this curve, when it drops towards -0.4 and in some case when you can see some lobes. These curves have been selected with spac2disp where the original curves were computed over a wide range from 0.1 to 20 Hz. I have e few question that should be addressed:
- Is it necessary to compute them on a so wide range when only frequencies from 1Hz are used? It also results in a poor sampling of the curve in the range if interest.
- What's the quality of the original spac curves? Can you clearly identify a dispersion curve for the grid?
- Did you try all other methods, FK, HRFK?
- How many stations do you have in your array?
- How many station couples do you have in each ring?
Note: your parameterization was ok, but it is better to start with something really simple (often too simple) like a sediment layer over a half-space, eventually with a gradient in the sediments.
spac curves
Thanks Marc
I load the spac target files for 3 arrays, for all I have 7 rings and there is one curve for each ring in Autocorrelation target curve window,but when I save the dinver file and reopen it in Autocorrelation target curve window some curves are empty and some have 2 or 3 curves overlay as you saw in the last dinver file I sent you.
In spite of using a simple parameterization, a sediment layer over a bed-rock, the Minimum misfit will be more than 1. Also attached are two files of the spac curves and selected rings for each array.
I have found the Kmin and Kmax for each Array through Build_Array. As you see the reliable parts of the curves are too small.
May be the array dimentions are not suitable? Do you have any suggestion for array setting for not repeating the above problems?
I load the spac target files for 3 arrays, for all I have 7 rings and there is one curve for each ring in Autocorrelation target curve window,but when I save the dinver file and reopen it in Autocorrelation target curve window some curves are empty and some have 2 or 3 curves overlay as you saw in the last dinver file I sent you.
In spite of using a simple parameterization, a sediment layer over a bed-rock, the Minimum misfit will be more than 1. Also attached are two files of the spac curves and selected rings for each array.
I have found the Kmin and Kmax for each Array through Build_Array. As you see the reliable parts of the curves are too small.
May be the array dimentions are not suitable? Do you have any suggestion for array setting for not repeating the above problems?
- Attachments
-
- SPAC ARRAYS.pdf
- (501.7 KiB) Downloaded 3543 times
-
- SPAC RINGS.pdf
- (92.83 KiB) Downloaded 3446 times
-
- stations.pdf
- (214.05 KiB) Downloaded 3226 times
In fact, looking at spac2disp snapshots, your original spac curves are quite nice. From the shape of the dispersion curve that can be outlined, which looks almost flat, I suspect that the interesting and dispersive part is at lower frequencies, below 1.5 Hz. Do you have an idea of the H/V peak frequency for the area?
Kmin and Kmax determined using build_array are suitable for FK processing. For HRFK, it can often be extended a bit. For SPAC there is no quantitative measurement of the limits. The resolution limit may be 2 or 3 times below the kmin observed for FK. Currently, from the visual inspection of the dispersion plot in spac2disp you can define the limits for spac. Don't be too restrictive. I think that in your case you can extend the range of validity up to 4 or 5 Hz (especially for smallest array). At low frequency, I think that you selected the correct limit.
One question that's not clear in my mind: are you recording all three arrays at the same time? If not, why did you set up only three stations for the small array?
Finally, your post suggests that there's a mismatch in saving target curves in dinver. Right? Which version are you using? I also wander if it would be possible to include all target files from the three arrays into spac2disp... it might be better than analyzing them separately. I'm looking how to do it. Can you send me the three target files? So that I try here.
We cannot go to the inversion part before setting the spac curves correctly. Let's first solve the first part...
Kmin and Kmax determined using build_array are suitable for FK processing. For HRFK, it can often be extended a bit. For SPAC there is no quantitative measurement of the limits. The resolution limit may be 2 or 3 times below the kmin observed for FK. Currently, from the visual inspection of the dispersion plot in spac2disp you can define the limits for spac. Don't be too restrictive. I think that in your case you can extend the range of validity up to 4 or 5 Hz (especially for smallest array). At low frequency, I think that you selected the correct limit.
One question that's not clear in my mind: are you recording all three arrays at the same time? If not, why did you set up only three stations for the small array?
Finally, your post suggests that there's a mismatch in saving target curves in dinver. Right? Which version are you using? I also wander if it would be possible to include all target files from the three arrays into spac2disp... it might be better than analyzing them separately. I'm looking how to do it. Can you send me the three target files? So that I try here.
We cannot go to the inversion part before setting the spac curves correctly. Let's first solve the first part...
Thanks for your answers.
Yes all three arrays have been recorded at the same time, which is not nessessary to.
I use sesarray-win-2.0.0-snapshot-20070918.
Attached are 3 spac target files.
Yes all three arrays have been recorded at the same time, which is not nessessary to.
I use sesarray-win-2.0.0-snapshot-20070918.
Attached are 3 spac target files.
- Attachments
-
- SPAC_C.target
- (5.13 KiB) Downloaded 2935 times
-
- SPAC_B.target
- (6.95 KiB) Downloaded 2875 times
-
- ARRAY_A.target
- (10.77 KiB) Downloaded 3188 times
I've just modified spac2disp to be able to load various .target files at the same time and performs a selection over all rings.
I was able to reproduce the mixing problem in Dinver. I fix it and I keep you informed when the new release is available (today evening).
If all your stations were recorded at the same time, why don't you try to process all arrays together? For spac it may improve the azimuth coverage and for FK techniques it will enlarge the valid wavenumber range.
Have you got some 3 component stations? What does the H/V curve look like?
I was able to reproduce the mixing problem in Dinver. I fix it and I keep you informed when the new release is available (today evening).
If all your stations were recorded at the same time, why don't you try to process all arrays together? For spac it may improve the azimuth coverage and for FK techniques it will enlarge the valid wavenumber range.
Have you got some 3 component stations? What does the H/V curve look like?
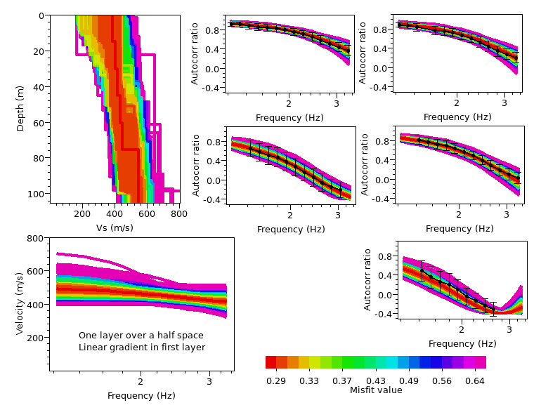
I analyzed the three arrays at the same time (possible only with the next release):
I discovered that your spac curves are not sampled the same way. To process them in spac2disp, you must have the same sampling (option of the processing). In this case, I cut and resampled the curve between 0.5 and 20 Hz, with 50 samples in log (using Dinver, now export of target is working properly, next release).
A single target file is saved from Dinver and in spac2disp, all rings match a single dispersion curve between 1.5 and 3.5 Hz, except the first two rings measured on the smallest array. I suspect that the reduced number of station pairs (3) for this array leads to slightly biased results. I discarded those two rings after loading the selected target in Dinver.

When you load the target file into dinver, the empty rings are still there. Don't forget to remove those two rings. I used a very simple model for the inversion and got finally very good misfits.

All rings are well fitted except the last one. The frequency band is not different from other rings so the misfit cannot be improved by adding more degrees of freedom. This probably due to particular ground configurations or noise structure viewed by the larger ring.
It would probably help understanding this structure if you have H/V ratio. The depth of investigation is difficult to estimate because the dispersion is almost flat. From the wavelength criteria, I would say that we have information down to 100-150 m (1/3 of lambda). The maximum depth was fixed to 100 m so all information below is not valid.
What can be learned from this inversion probably that you need lower frequency information (to be confirmed by H/V results).
Code: Select all
spac2disp ARRAY_A.target SPAC_B.target SPAC_C.targetA single target file is saved from Dinver and in spac2disp, all rings match a single dispersion curve between 1.5 and 3.5 Hz, except the first two rings measured on the smallest array. I suspect that the reduced number of station pairs (3) for this array leads to slightly biased results. I discarded those two rings after loading the selected target in Dinver.

When you load the target file into dinver, the empty rings are still there. Don't forget to remove those two rings. I used a very simple model for the inversion and got finally very good misfits.

All rings are well fitted except the last one. The frequency band is not different from other rings so the misfit cannot be improved by adding more degrees of freedom. This probably due to particular ground configurations or noise structure viewed by the larger ring.
It would probably help understanding this structure if you have H/V ratio. The depth of investigation is difficult to estimate because the dispersion is almost flat. From the wavelength criteria, I would say that we have information down to 100-150 m (1/3 of lambda). The maximum depth was fixed to 100 m so all information below is not valid.
What can be learned from this inversion probably that you need lower frequency information (to be confirmed by H/V results).
- Attachments
-
- spac.png
- Spac results, first two ring are not selected
- (49.07 KiB) Downloaded 561 times
-
- spac-inv.png
- Inversion of spac results with a very simple model (too simple?)
- (56.11 KiB) Downloaded 578 times
Thanks alot Marc
I tried to process all arrays together, in this case the small array has a much more wider frequency range.
In dinver using a simple model in parametrization the Min Misfit will be no less than 0.9. I test different Poisson's ratios and also add sublayes but I see no differece.
Attached is the dinver file.
I tried to process all arrays together, in this case the small array has a much more wider frequency range.
In dinver using a simple model in parametrization the Min Misfit will be no less than 0.9. I test different Poisson's ratios and also add sublayes but I see no differece.
Attached is the dinver file.
- Attachments
-
- TEST.dinver
- (11.89 KiB) Downloaded 2893 times
I checked your target with spac2disp and in fact the selection is probably too large. The first two rings have a dispersion curve far from the one from all other rings (local structures close to surface not viewed by larger wavelengths?). Your high misfit comes from the fact that it is no possible to find a single dispersion curve explaining all autocorrelation curves. When you run the inversion with all 7 rings the solution found falls inside the distribution of models shown in the figure above. Still, a small contrast is visible (from 350 to 500 m/s).
The only way to decrease the misfit is to discard some points or entire rings from the inversion. But at the end it won't change drastically the Vs profiles. I think that the best to do now is to process H/V in the area and decide whether you need larger arrays or not.
The only way to decrease the misfit is to discard some points or entire rings from the inversion. But at the end it won't change drastically the Vs profiles. I think that the best to do now is to process H/V in the area and decide whether you need larger arrays or not.