why different answers from same data using different Geopsy Dinver releases?
why different answers from same data using different Geopsy Dinver releases?
Hi Marc,
as already mentioned in my topic 402 (last post) I found different answers from the joint inversion using Dinver of the 2.9.0 release to that of the 3 series and I don't understand why. I am attaching the example of the same ellipticity curve (right flank of the peak) and of the same dispersion curve and with the same input parameters. The differences are very evident and the same is for the misfit that in the inversion obtained from the 3.3.4 release is about 10 times higher than that of the 2.9.0 release.
Can you please explain to me what the reason is?
Thanks
Luigi
as already mentioned in my topic 402 (last post) I found different answers from the joint inversion using Dinver of the 2.9.0 release to that of the 3 series and I don't understand why. I am attaching the example of the same ellipticity curve (right flank of the peak) and of the same dispersion curve and with the same input parameters. The differences are very evident and the same is for the misfit that in the inversion obtained from the 3.3.4 release is about 10 times higher than that of the 2.9.0 release.
Can you please explain to me what the reason is?
Thanks
Luigi
- Attachments
-
- ellipt_3-3-4.jpg
- (48.32 KiB) Not downloaded yet
-
- ellipt_2-9-0.jpg
- (48.98 KiB) Not downloaded yet
-
- models.jpg
- (89.85 KiB) Not downloaded yet
Re: why different answers from same data using different Geopsy Dinver releases?
Hi Luigi,
Can you post your .dinver file for inspection? It does not weight too much. I do not need the attached .report files.
Best regards,
Marc
Can you post your .dinver file for inspection? It does not weight too much. I do not need the attached .report files.
Best regards,
Marc
Re: why different answers from same data using different Geopsy Dinver releases?
Hi Marc,
sorry but what do you mean by .dinver file? the dinver ground profiles models or the dinver app 3.4, or the ellipt.txt and disper.txt, or ...
Thanks
sorry but what do you mean by .dinver file? the dinver ground profiles models or the dinver app 3.4, or the ellipt.txt and disper.txt, or ...
Thanks
Re: why different answers from same data using different Geopsy Dinver releases?
You can export the target or the parameterization separately into a .target or a .param file. In menu file, if you choose "save", it saves the complete environment (targets, parameters and the list of runs). It does not contain all the models generated in individual .report files. If you do not save, report files are created in your home directory under .dinvertemp, and deleted after closing. They become permanent only if you save.
Re: why different answers from same data using different Geopsy Dinver releases?
Hi Marc,
I did as suggested and I got the Marc.dinver file from the 3.3.4 release where you can see from the different runs how the misfit value is very variable and high. On the contrary, the marc2.dinver file obteined by the 2.9.0 release has not only lower misfit values, but also decidedly more stable.
I hope you can understand the reason for these notable differences and thus give me a useful indication for future joint inversions.
Thanks
Luigi
I did as suggested and I got the Marc.dinver file from the 3.3.4 release where you can see from the different runs how the misfit value is very variable and high. On the contrary, the marc2.dinver file obteined by the 2.9.0 release has not only lower misfit values, but also decidedly more stable.
I hope you can understand the reason for these notable differences and thus give me a useful indication for future joint inversions.
Thanks
Luigi
- Attachments
-
- marc2.dinver
- (6.06 KiB) Downloaded 2517 times
-
- marc.dinver
- (23.38 KiB) Downloaded 2440 times
Re: why different answers from same data using different Geopsy Dinver releases?
Hi Luigi,
It takes a little while but my answer won't be so short.
Old release 2.5.0
First, I try with 2.5.0, an old one, even older than yours. Effectively the minimum misfit that I reach is around 0.8, lower than what you got with 3.3.4. But... if you look at the fit of the dispersion curve it is rather bad (fig_250-01.png).
If you look into the log of each run, you may see a lot of warnings of this type:
This warning is issued when computing a theoretical ellipticity peak, if the obtained peak is outside the user frequency range. The frequency sampling and its range is defined by merging all samples from all target curves (dispersion and eventually ellipticity). For efficiency, it is better to have the same sample set for all curves: computing an ellipticity value requires the Rayleigh dispersion value at the same frequency. Before running anything it is always better to resample all curves in the same way (e.g. 50 samples on a log scale). If a curve is not available over the complete range, invalid samples are added, these frequencies will not be considered for the misfit computation. When including the peak frequency in the target list, you have to add extra samples at low frequency. For instance, if the dispersion curve is available from 2 to 20 Hz and the observed peak is at 1 Hz, you have to resample from at least 0.5 Hz. If deep ground structures are produced by the parameterization, the warning may still appear. In your case I resample everything from 0.1 to 25 Hz with 50 log samples. The warning is visible a few times at the beginning and then disappears as long as the inversion focuses on the area of interest.
I could see that you generated 300 models using Monte-Carlo before starting NA. This is not really useful and only a few is necessary. I'm used to 50 random models to initiate the inversion process.
Release 3.3.5
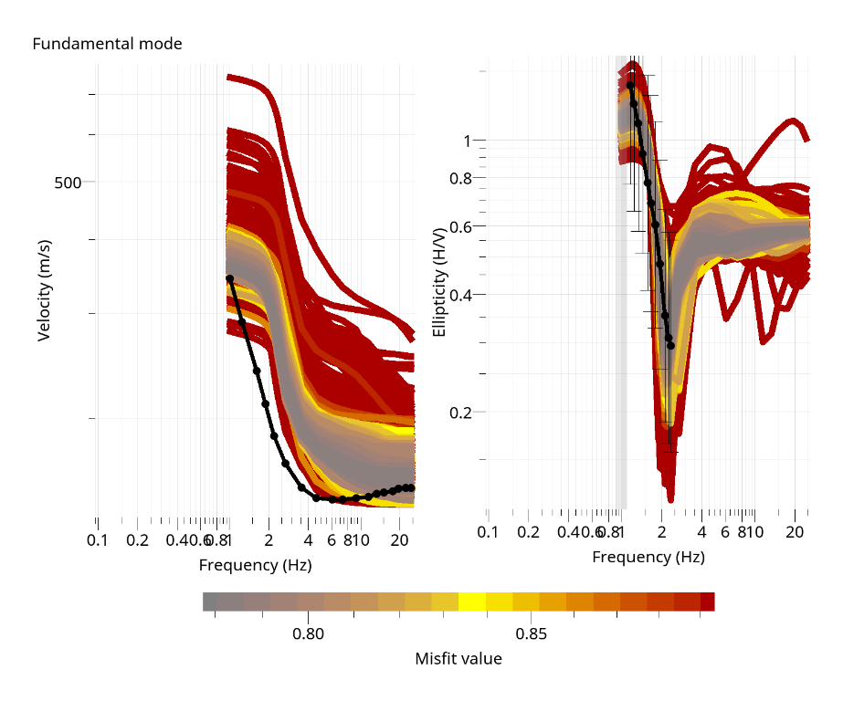
If I create a new run with your exact target and parameterization, I get a minimum misfit of 9.47 after 10000 models, which is a very high misfit. If I resample the targets as specified here above, I get a minimum misfit of 2.40, which is a little better but not that good. fig_335-01.png shows that the ellipticity target appears only on the signed ellipticity plot. If the ellipticity curves comes from a single station processing, it is only an absolute value of the ellipticity and the sign is unknown. In this case we add extra data that the ellipticity is positive which is probably false.
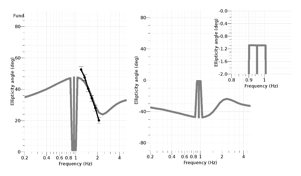
The next step is to set the correct type to the ellipticity curve. In fig_335-02.png, you have to change "Signed" to "Absolute". The misfit drops to 0.85 and the results are shown in fig_335-03.png. There is a strange feature around the ellipticity peak. fig_335_04.png shows the signed and absolute values of the ellipticity for the best model, zoomed around the peak. The signed curve must be smooth. The absolute ellipticity on a log scale may have singular points produced by the absolute value. The values between 0.9 and 1 Hz are the plain ellipticity values instead of the angular ellipticity. atan(-1.1)=-47.7 deg, the correct angular ellipticity at that frequency. That's a bug encountered while inverting for the peak frequency. This artefact disappears if the peak frequency is deactivated in the target list. Refined values computed for getting the exact peak frequency are not properly transformed to angular ellipticity. This is now fixed for the next releases (3.3.6-preview under preparation).
Release 3.3.6-preview
The same inversion is now restarted with a fix for the above ellipticity bug. The best misfit is 0.95 after 10000 models. I did not try to improve it by running any further. fig_336-01.png shows the results. The ellipticity curve is rather well matched and the peak is at 1 Hz as expected, but the dispersion curve is absolutely not recovered. This tends to be closer to what we obtained with 2.5.0.
The dispersion curve has no standard deviation while it is the case for other sub-targets. When there is no uncertainty estimation on a curve, the misfit is computed using relative values (slowness difference normalized by the experimental slowness). Hence a misfit of 0.1 is an average adjustment at 10%. I suggest here to manually add a 10% uncertainty on the dispersion curve. In the curve table, select all valid rows (the entire row by clicking on the row numbers), modify Stddev column to 1.1. Modification in one cell applies to the whole selection after pressing "Enter". The misfit now drops to 0.78 (see fig_336-02.png). It gets better and even it starts to be acceptable. By adding uncertainties, we change the way misfit is normalized (by stddev instead experimental slowness) and it gives more weight to the dispersion sub-target compared to the previous cases.
We can see for the Vs profiles close to the surface that collection of models directly starts with the best ones. The distribution looks like sharply cut at 150 m/s. This limit comes from the parameterization itself. Before proceeding to other tries, we must set the lower limits to something more adequate. Effectively, the minimum phase velocity is at 146 m/s, Vs can be lower. Initial tries must leave parameters with the largest possible range. Let's move all Vs minima to 50 m/s (even in the half-space).
I obtained a minimum misfit of 0.8 after 30000 models. Results are shown in fig_336-03.png. Vs profiles are now better sampled. In the same time, all layers are now concentrated above 50 m, while the previous case spans down to 100 m. The shallow part is now better investigated.
The dispersion curve is bending towards an increase at high frequency. This kind of shape can be the signature of a low velocity zone (LVZ) prohibited for default parameterizations. Let's relax this condition for the second layer: Vs1 can be lower than Vs0. I obtained a minimum misfit of 0.51 after 30000 models. The results are shown in fig_336-04.png. High frequency par of the dispersion curve is fine and the ellipticity as well. Lower frequency part of the dispersion would still require a better fit. Profiles are constrained by the targets to a maximum depth of 40 m. An additional layer would probably provide an expected degree of freedom. I force it to be between 40 and 200 m to explore the deeper part.
I get 0.40 as a minimum misfit after generating 30000 models (fig_336-05.png). The lower frequency part of the dispersion curves is a bit improved. The Vp profiles indicate a maximum penetration depth of 60 m. This limit is not reached for Vs due to a missing degree of freedom.
I added one more layer from 80 to 200 m to reach a misfit of 0.36 after the generation of 60000 models (6 layers and 16 parameters, fig_336-06.png). That's much better: the deeper part of the Vs profile is now correctly explored, providing a maximum depth around 150 m.
Now at least two details should raise your attention:
To stay on the safe side, we can re-run the inversion with the same parameterization without the ellipticity curve. We keep only the ellipticity peak. The minimum misfit is much lower as expected (0.09) with only 20000 models generated (fig_336-07.png). Vp profiles are now unconstrained which is more usual. The obtained ellipticities are almost parallel to the experimental one but at a much lower level. The Love contribution could easily explain this difference. Again, the peak at 1 Hz appears as a secondary peak compared to another one between 0.3 and 0.6 Hz. Is it supported by your data? If not a more gradient-like profile should be considered in the deep part (from 50 to 200 m).
It takes a little while but my answer won't be so short.
Old release 2.5.0
First, I try with 2.5.0, an old one, even older than yours. Effectively the minimum misfit that I reach is around 0.8, lower than what you got with 3.3.4. But... if you look at the fit of the dispersion curve it is rather bad (fig_250-01.png).
If you look into the log of each run, you may see a lot of warnings of this type:
Code: Select all
** Warning ** : probably a missing peak, bad initial samplingI could see that you generated 300 models using Monte-Carlo before starting NA. This is not really useful and only a few is necessary. I'm used to 50 random models to initiate the inversion process.
Release 3.3.5
If I create a new run with your exact target and parameterization, I get a minimum misfit of 9.47 after 10000 models, which is a very high misfit. If I resample the targets as specified here above, I get a minimum misfit of 2.40, which is a little better but not that good. fig_335-01.png shows that the ellipticity target appears only on the signed ellipticity plot. If the ellipticity curves comes from a single station processing, it is only an absolute value of the ellipticity and the sign is unknown. In this case we add extra data that the ellipticity is positive which is probably false.
The next step is to set the correct type to the ellipticity curve. In fig_335-02.png, you have to change "Signed" to "Absolute". The misfit drops to 0.85 and the results are shown in fig_335-03.png. There is a strange feature around the ellipticity peak. fig_335_04.png shows the signed and absolute values of the ellipticity for the best model, zoomed around the peak. The signed curve must be smooth. The absolute ellipticity on a log scale may have singular points produced by the absolute value. The values between 0.9 and 1 Hz are the plain ellipticity values instead of the angular ellipticity. atan(-1.1)=-47.7 deg, the correct angular ellipticity at that frequency. That's a bug encountered while inverting for the peak frequency. This artefact disappears if the peak frequency is deactivated in the target list. Refined values computed for getting the exact peak frequency are not properly transformed to angular ellipticity. This is now fixed for the next releases (3.3.6-preview under preparation).
Release 3.3.6-preview
The same inversion is now restarted with a fix for the above ellipticity bug. The best misfit is 0.95 after 10000 models. I did not try to improve it by running any further. fig_336-01.png shows the results. The ellipticity curve is rather well matched and the peak is at 1 Hz as expected, but the dispersion curve is absolutely not recovered. This tends to be closer to what we obtained with 2.5.0.
The dispersion curve has no standard deviation while it is the case for other sub-targets. When there is no uncertainty estimation on a curve, the misfit is computed using relative values (slowness difference normalized by the experimental slowness). Hence a misfit of 0.1 is an average adjustment at 10%. I suggest here to manually add a 10% uncertainty on the dispersion curve. In the curve table, select all valid rows (the entire row by clicking on the row numbers), modify Stddev column to 1.1. Modification in one cell applies to the whole selection after pressing "Enter". The misfit now drops to 0.78 (see fig_336-02.png). It gets better and even it starts to be acceptable. By adding uncertainties, we change the way misfit is normalized (by stddev instead experimental slowness) and it gives more weight to the dispersion sub-target compared to the previous cases.
We can see for the Vs profiles close to the surface that collection of models directly starts with the best ones. The distribution looks like sharply cut at 150 m/s. This limit comes from the parameterization itself. Before proceeding to other tries, we must set the lower limits to something more adequate. Effectively, the minimum phase velocity is at 146 m/s, Vs can be lower. Initial tries must leave parameters with the largest possible range. Let's move all Vs minima to 50 m/s (even in the half-space).
I obtained a minimum misfit of 0.8 after 30000 models. Results are shown in fig_336-03.png. Vs profiles are now better sampled. In the same time, all layers are now concentrated above 50 m, while the previous case spans down to 100 m. The shallow part is now better investigated.
The dispersion curve is bending towards an increase at high frequency. This kind of shape can be the signature of a low velocity zone (LVZ) prohibited for default parameterizations. Let's relax this condition for the second layer: Vs1 can be lower than Vs0. I obtained a minimum misfit of 0.51 after 30000 models. The results are shown in fig_336-04.png. High frequency par of the dispersion curve is fine and the ellipticity as well. Lower frequency part of the dispersion would still require a better fit. Profiles are constrained by the targets to a maximum depth of 40 m. An additional layer would probably provide an expected degree of freedom. I force it to be between 40 and 200 m to explore the deeper part.
I get 0.40 as a minimum misfit after generating 30000 models (fig_336-05.png). The lower frequency part of the dispersion curves is a bit improved. The Vp profiles indicate a maximum penetration depth of 60 m. This limit is not reached for Vs due to a missing degree of freedom.
I added one more layer from 80 to 200 m to reach a misfit of 0.36 after the generation of 60000 models (6 layers and 16 parameters, fig_336-06.png). That's much better: the deeper part of the Vs profile is now correctly explored, providing a maximum depth around 150 m.
Now at least two details should raise your attention:
- There is effectively a small peak in the ellipticity at 1 Hz but there is another one much larger between 0.3 and 0.6 Hz. Is it supported by your experimental data?
- Vp profiles look very well constrained in the first 40 m. This is unusual. It might be induced by a biased ellipticity curve. You did not specify if it comes from a classical H/V measurement or from a more sophisticated processing aimed at extracting pure Rayleigh waves: HVTFA (NERIES project) or Raydec (Hobiger et al. 2009, to be included soon in geopsy). In classical H/V, Love and body waves can modify the amplitude of the curve, which is not taken into account by dinver modelling, based only on Rayleigh waves.
To stay on the safe side, we can re-run the inversion with the same parameterization without the ellipticity curve. We keep only the ellipticity peak. The minimum misfit is much lower as expected (0.09) with only 20000 models generated (fig_336-07.png). Vp profiles are now unconstrained which is more usual. The obtained ellipticities are almost parallel to the experimental one but at a much lower level. The Love contribution could easily explain this difference. Again, the peak at 1 Hz appears as a secondary peak compared to another one between 0.3 and 0.6 Hz. Is it supported by your data? If not a more gradient-like profile should be considered in the deep part (from 50 to 200 m).
- Attachments
-
- fig_336-07.png
- (127.53 KiB) Not downloaded yet
-
- fig_336-06.png
- (111.7 KiB) Not downloaded yet
-
- fig_336-05.png
- (109.38 KiB) Not downloaded yet
-
- fig_336-04.png
- (108.76 KiB) Not downloaded yet
-
- fig_336-03.png
- (180.29 KiB) Not downloaded yet
-
- fig_336-02.png
- (156.15 KiB) Not downloaded yet
-
- fig_336-01.png
- (147.72 KiB) Not downloaded yet
-
- fig_335-04.png
- (59.63 KiB) Not downloaded yet
-
- fig_335-03.png
- (156.09 KiB) Not downloaded yet
-
- fig_335-02.png
- (25.63 KiB) Not downloaded yet
-
- fig_335-01.png
- (105.1 KiB) Not downloaded yet
-
- fig_250-01.png
- (105.52 KiB) Not downloaded yet
Re: why different answers from same data using different Geopsy Dinver releases?
Hi Marc,
first I would like to thank you for the excellent joint reversal demonstration, impossible for me to successfully complete with the help of only published technical documentation.
At the site to which the data refer, 6 night-time single station measurements were carried out lasting 120 minutes. The strange fact is that all the H / V curves show a peak at 1Hz and one at 0.2-0.3Hz but all with amplitude <2 (HV.jpg). The site is located near a railway so I tried to select only the events generated by the transit of trains and obtained the H / V curve (Trains2679_hv.jpg) of which I obtained the ellipticity curve using HVTFA (ellitt2679.jpg). The H / V curve, however, is limited below 0.5Hz because the data were not sufficient to use time windows of 80s.
The substratum of the area is made up of compact Pliocene blue clays at a depth of 50m covered by a few meters of basal gravels and by silts, clays and organic material up to the surface. The hard substratum should be about 200m deep. I am also attaching my best result (models.jpg) which is not as good as yours and which I will need to try again and practice.
Finally I would like to know what could be the reason for the low amplitude of the H / V peaks. At about 1km, same geology, there is an hvsr test with a 1.2Hz peak and 3.5 amplitude.
Thanks for again for your availability and clarity
Luigi
first I would like to thank you for the excellent joint reversal demonstration, impossible for me to successfully complete with the help of only published technical documentation.
At the site to which the data refer, 6 night-time single station measurements were carried out lasting 120 minutes. The strange fact is that all the H / V curves show a peak at 1Hz and one at 0.2-0.3Hz but all with amplitude <2 (HV.jpg). The site is located near a railway so I tried to select only the events generated by the transit of trains and obtained the H / V curve (Trains2679_hv.jpg) of which I obtained the ellipticity curve using HVTFA (ellitt2679.jpg). The H / V curve, however, is limited below 0.5Hz because the data were not sufficient to use time windows of 80s.
The substratum of the area is made up of compact Pliocene blue clays at a depth of 50m covered by a few meters of basal gravels and by silts, clays and organic material up to the surface. The hard substratum should be about 200m deep. I am also attaching my best result (models.jpg) which is not as good as yours and which I will need to try again and practice.
Finally I would like to know what could be the reason for the low amplitude of the H / V peaks. At about 1km, same geology, there is an hvsr test with a 1.2Hz peak and 3.5 amplitude.
Thanks for again for your availability and clarity
Luigi
- Attachments
-
- models.jpg
- (50 KiB) Not downloaded yet
-
- ellitt2679.jpg
- (216.03 KiB) Not downloaded yet
-
- treni2679_hv.jpg
- (71.26 KiB) Not downloaded yet
-
- HV.jpg
- (105.37 KiB) Not downloaded yet
Re: why different answers from same data using different Geopsy Dinver releases?
Hi Marc,
tried to repeat your inversion following your track. I resampled the two curves in the 0.1Hz-25Hz range with 50 samples. I adopted what I believe was your final model (6 layers with the last two before the half-space confined between 60m and 200m and 80m and 200m). I used Dinver 3.3.5 with both subtarget ellipticity peak and without. As you will see from the marc3.dinver file that I am attaching , the final results are different from yours and in particular the bedrock at 150m does not appear and also the main peak between 0.3Hz and 0.6Hz is not seen.
What is the reason for these substantial differences? Did I make a mistake in the choice of parameters or is version 3.3.6 that makes the difference?
Cheers
luigi
tried to repeat your inversion following your track. I resampled the two curves in the 0.1Hz-25Hz range with 50 samples. I adopted what I believe was your final model (6 layers with the last two before the half-space confined between 60m and 200m and 80m and 200m). I used Dinver 3.3.5 with both subtarget ellipticity peak and without. As you will see from the marc3.dinver file that I am attaching , the final results are different from yours and in particular the bedrock at 150m does not appear and also the main peak between 0.3Hz and 0.6Hz is not seen.
What is the reason for these substantial differences? Did I make a mistake in the choice of parameters or is version 3.3.6 that makes the difference?
Cheers
luigi
- Attachments
-
- marc3.dinver
- (48.71 KiB) Downloaded 2534 times
Re: why different answers from same data using different Geopsy Dinver releases?
Hi Luigi,
I'm getting a minimum misfit of 0.39 after 30000 models with 3.4.0 and 3.3.6. I just add a new run to your .dinver and run it, without changing anything. From the dinver file alone I do not have access to the misfits you obtained. With 0.39 both dispersion and ellipticity are nicely adjusted. The contrast at 200 m is not very strong which is probably more consistent with the experimental curves (no strong peak at low frequency). Anyhow, below 150 m or 1 Hz, there are is constraint from the data.
Can you provide the misfits you have for run 01 to 07?
The bug fixed for 3.3.6 (released this week) may have an influence over the peak assessment but none on the ellipticity and the dispersion curve misfits. So I suspect it as a minor effect. I compared your dinver and mine from last week. There are small differences for the depth range of layers 3 and 4 but without influence. There is also only 5 Vp layers in my last week tests, while 6 in yours. That could the explanation
Both results give similar fit of the data and without additional information there is no reason to prefer one the two options. The additional information could be considering the shape of the H/V at low frequency, relatively flat, that excludes a strong contrast at 200 m.
To go back to your previous post, while plotting the HVTFA results did you use the option -tfaNppm in max2curve?
It makes a selection of the strongest vertical peaks that are likely to be Rayleigh wave dominant. If not, then you select all peaks and the average you obtain is usually close the the classical H/V curve. When you are more selective, you can see that the curve is lowered as the Love effects are removed. The number of peaks per minute is lower for deep sites than for shallow ones. max2curve is an old tool left only for HVTFA. If you profide your HVTFA max file, I would curious to play with it. And probably take this opportunity to modernize this part.
Best regards,
Marc
I'm getting a minimum misfit of 0.39 after 30000 models with 3.4.0 and 3.3.6. I just add a new run to your .dinver and run it, without changing anything. From the dinver file alone I do not have access to the misfits you obtained. With 0.39 both dispersion and ellipticity are nicely adjusted. The contrast at 200 m is not very strong which is probably more consistent with the experimental curves (no strong peak at low frequency). Anyhow, below 150 m or 1 Hz, there are is constraint from the data.
Can you provide the misfits you have for run 01 to 07?
The bug fixed for 3.3.6 (released this week) may have an influence over the peak assessment but none on the ellipticity and the dispersion curve misfits. So I suspect it as a minor effect. I compared your dinver and mine from last week. There are small differences for the depth range of layers 3 and 4 but without influence. There is also only 5 Vp layers in my last week tests, while 6 in yours. That could the explanation
Both results give similar fit of the data and without additional information there is no reason to prefer one the two options. The additional information could be considering the shape of the H/V at low frequency, relatively flat, that excludes a strong contrast at 200 m.
To go back to your previous post, while plotting the HVTFA results did you use the option -tfaNppm in max2curve?
It makes a selection of the strongest vertical peaks that are likely to be Rayleigh wave dominant. If not, then you select all peaks and the average you obtain is usually close the the classical H/V curve. When you are more selective, you can see that the curve is lowered as the Love effects are removed. The number of peaks per minute is lower for deep sites than for shallow ones. max2curve is an old tool left only for HVTFA. If you profide your HVTFA max file, I would curious to play with it. And probably take this opportunity to modernize this part.
Best regards,
Marc
- Attachments
-
- Vs.png
- (36.71 KiB) Not downloaded yet
Re: why different answers from same data using different Geopsy Dinver releases?
3.3.6 is available for Windows (and for source distribution of course - Linux and Mac).
Re: why different answers from same data using different Geopsy Dinver releases?
Hi Marc,
I saw the outcome of your additional run where the Vs profile basically agrees with mine. Do the ellipticity differences remain for the low frequency part? I have now seen that you have released version 3.3.6 and I will try with that to run the data.
I enclose the misfit of the first 7 runs that are higher than yours after 60,000 models.
The depth section control is a mechanical survey that positions the reflector at 50m-60m, while from inversion it appears at 30m or perhaps 70m. I tried to fix this depth, but the result is not satisfactory. So I slightly modified the initial model by imposing the maximum depth at 60m for the first 4 layers and 150m for the fifth. The misfit for run_05 is 0.39 (60000 models) without peak frequency and for run_06 0.43 (60000 models) with peak frequency. The main reflector is at 90-100m and the secondary one at 30m (marc4.dinver). However this seismostratigraphy has no comparison with lithostratigraphy.
As for the ellipticity curve, I am attaching the data file plotted with max2curve of version 2.9.0 (the one of later versions does not read the max files of the HVTFA). The Morlet wavelet m = 10 and Nppm = 10 for plotting. The curve (ellipticity_raw.txt) was resampled with 50 samples between 0.5 and 20Hz (ellipticity_ resampled.txt). The H / V curve is trains2679_hv.txt
Thanks again for your support which is allowing me to better work with Geopsy and its tools.
I hope to soon
Luigi
I saw the outcome of your additional run where the Vs profile basically agrees with mine. Do the ellipticity differences remain for the low frequency part? I have now seen that you have released version 3.3.6 and I will try with that to run the data.
I enclose the misfit of the first 7 runs that are higher than yours after 60,000 models.
The depth section control is a mechanical survey that positions the reflector at 50m-60m, while from inversion it appears at 30m or perhaps 70m. I tried to fix this depth, but the result is not satisfactory. So I slightly modified the initial model by imposing the maximum depth at 60m for the first 4 layers and 150m for the fifth. The misfit for run_05 is 0.39 (60000 models) without peak frequency and for run_06 0.43 (60000 models) with peak frequency. The main reflector is at 90-100m and the secondary one at 30m (marc4.dinver). However this seismostratigraphy has no comparison with lithostratigraphy.
As for the ellipticity curve, I am attaching the data file plotted with max2curve of version 2.9.0 (the one of later versions does not read the max files of the HVTFA). The Morlet wavelet m = 10 and Nppm = 10 for plotting. The curve (ellipticity_raw.txt) was resampled with 50 samples between 0.5 and 20Hz (ellipticity_ resampled.txt). The H / V curve is trains2679_hv.txt
Thanks again for your support which is allowing me to better work with Geopsy and its tools.
I hope to soon
Luigi
- Attachments
-
- ellipticity_resampled.txt
- (3.44 KiB) Downloaded 2528 times
-
- treni2679_hv.txt
- (5.37 KiB) Downloaded 2395 times
-
- ellipticity_raw.txt
- (7.2 KiB) Downloaded 2408 times
-
- misfit.jpg
- (56.96 KiB) Not downloaded yet
-
- marc4.dinver
- (42.63 KiB) Downloaded 2393 times
Re: why different answers from same data using different Geopsy Dinver releases?
Hi Marc,
I take advantage of the fact that you haven't read my last post yet to submit another question.
In another site I had a good H / V curve with two peaks, one at 1Hz and the other at 12Hz. I got the ellipticity curve with HVTFA with m = 8 and plotted with max2curve with nppm = 4. I resampled the curve between 0.1Hz and 40Hz (ell01-40.txt, ellm8nppm4.jpg).
The first question: is it correct to consider for the joint inversion only the right flank of the lower frequency peak?
I subjected ellipticity and dispersion to joint inversion using dinver of version 2.9.0 (vigasio290.dinver) and getting (runs01-03) a misfit of 0.4-0.5. The same file dinver I uploaded to dinver 3.3.6 (vigasio.dinver) obtaining in the last run (07) a misfit of 1.4 which is much higher.
Can you please help me understand why this happens? It may be due to the fact that the run parameters are different between the two versions (itmax and Seed there are only in version 2.9)?
Thanks e best regards
Luigi
I take advantage of the fact that you haven't read my last post yet to submit another question.
In another site I had a good H / V curve with two peaks, one at 1Hz and the other at 12Hz. I got the ellipticity curve with HVTFA with m = 8 and plotted with max2curve with nppm = 4. I resampled the curve between 0.1Hz and 40Hz (ell01-40.txt, ellm8nppm4.jpg).
The first question: is it correct to consider for the joint inversion only the right flank of the lower frequency peak?
I subjected ellipticity and dispersion to joint inversion using dinver of version 2.9.0 (vigasio290.dinver) and getting (runs01-03) a misfit of 0.4-0.5. The same file dinver I uploaded to dinver 3.3.6 (vigasio.dinver) obtaining in the last run (07) a misfit of 1.4 which is much higher.
Can you please help me understand why this happens? It may be due to the fact that the run parameters are different between the two versions (itmax and Seed there are only in version 2.9)?
Thanks e best regards
Luigi
- Attachments
-
- vigasio290.dinver
- (20.61 KiB) Downloaded 2372 times
-
- vigasio.dinver
- (38.28 KiB) Downloaded 2554 times
-
- ell01-40.txt
- (2.8 KiB) Downloaded 2463 times
-
- ellm8nppm4.jpg
- (219.96 KiB) Not downloaded yet