Passive FK

Discuss here all technical and scientific questions about the processing of ambient vibrations for site characterization (H/V, Array methods,...)
Post Reply
cecidip
Posts: 2
Joined: Fri Apr 23, 2021 3:38 pm

Passive FK

Post by cecidip »

Hi,
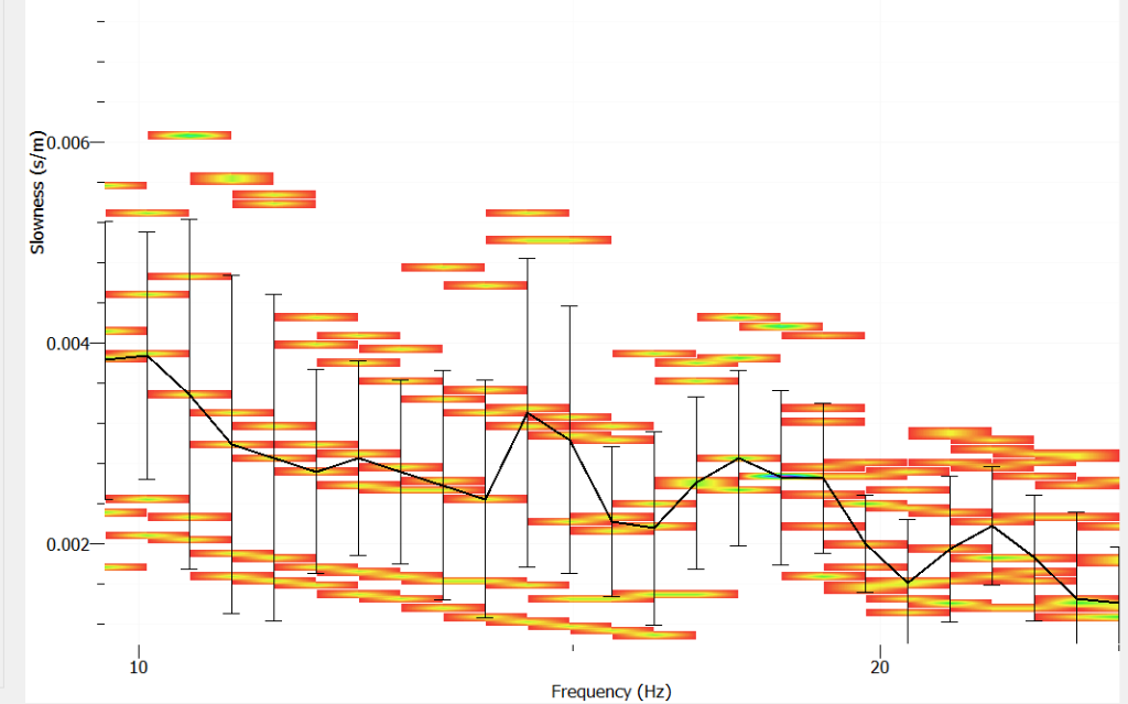
I have acquired a data set of passive seismic with a linear array. The data consist on 10 stacks of 10s, and a geoph spacing of 3m. Though this is not the most recommended setup, for what i've read its doable.
When i try to process it with "Linear F-K for passive experiments" the curves i obtain are not reasonable. I have decreasing slowness with frequency (and this has happened to me with every linear passive dataset i tried) . Is there a special way to process this type of data ?
Thank you,
Cecilia

Image
Attachments
Screenshot 2021-05-25 084827.png
example
(143.33 KiB) Not downloaded yet
admin
Site Admin
Posts: 842
Joined: Mon Aug 13, 2007 11:48 am
Location: ISTerre
Contact:

Re: Passive FK

Post by admin »

Can you send me your dataset? (email or any upload facility if it is too large for this forum?
Post Reply