Viscoelastic computation not working for gpell?

This forum is dedicated to discuss all problems and suggestions related to the use of geopsy database and its plugins (array processing, H/V,...).
Post Reply
iandkelly
Posts: 5
Joined: Fri Oct 21, 2022 2:29 am

Viscoelastic computation not working for gpell?

Post by iandkelly »

Hi Marc,

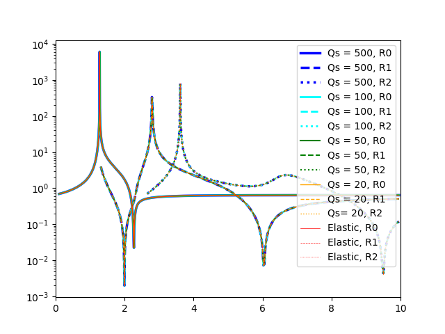
I'm using gpell for a number of 1-D models that include Qp and Qs, and have found that there seems to be no change when either adding or changing Qp / Qs in the models, as exemplified with the attached models & resultant ellipticity curves. I've tried this for a number of other models and also with Geopsy 3.5.2 and 3.4.3, with no success. Any ideas on this?

Cheers,

Ian
Attachments
test_gpell_results.png
(72.83 KiB) Not downloaded yet
test_Q500.txt
(77 Bytes) Downloaded 2801 times
test_Q100.txt
(77 Bytes) Downloaded 2821 times
test_Q50.txt
(75 Bytes) Downloaded 2944 times
test_Q20.txt
(75 Bytes) Downloaded 2929 times
admin
Site Admin
Posts: 842
Joined: Mon Aug 13, 2007 11:48 am
Location: ISTerre
Contact:

Re: Viscoelastic computation not working for gpell?

Post by admin »

Hi Ian,

Effectively, gpdc and gpell do only elastic computations. Qs and Qp are included in the file format to get a unique format for 1D structures. The format is also accepted by gpsh which makes use of Qs and Qp.

Best regards,

Marc
Post Reply